漁業 種類
海洋知圈 朝鲜海产地图 拥有世界罕见的8600公里无污染海岸线 海产资源丰富 潜力巨大 山东海洋现代渔业有限公司
年 世界渔业和水产养殖状况 报告发布 中国水产流通与加工协会
与渔场有关的几个知识点 附考点设计 手机网易网
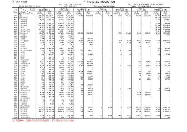
6歷年漁業生產量值
渔业掌中宝by 青岛励图高科信息技术有限公司
热带海域选择性虾拖网渔具的研究进展
海上28 金枪鱼延绳钓船队 Www 2959 Com 上海远洋渔业有限公司
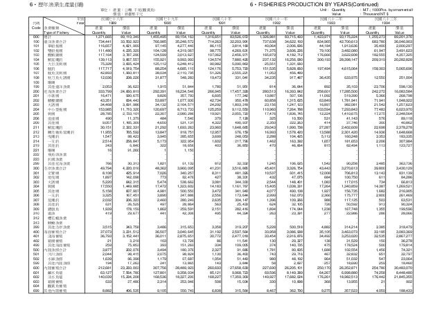
7 2漁業種類別縣市別生產量值
手工渔业在塞内加尔 Kayar Cayar海滩 在达喀尔北部编辑类库存图片 图片包括有kayar 手工渔业在塞内加尔
Fao发布世界渔业报告 过度捕捞有所反弹 动态 浙江省水产流通与加工协会
Fao Fisheries Aquaculture 养殖水生物种信息计划 Acipenser Baerii Brandt 1869
19年中国海洋捕捞产值情况及产量分省市 海域 品种以及作业方式统计 图 中国产业信息网
大打出手 印尼炸毁51艘外籍渔船 其中一个举动令人拍案叫绝 南海
注意 长江里不能随便钓鱼了
6歷年漁業生產量值
政府就新在留资格的14个候补职业种类进行商讨 朝日新聞中文网
银龙鱼的种类 第1页 一起扣扣网
漁業
福建泉港化學品泄漏海域有機污染物影響仍在持續 新浪網 北美
浙江省渔业互保协会
漁業の紹介 漁師 Jp 全国漁業就業者確保育成センター
大型食用鱼在黑背景的游乐渔业库存例证 插画包括有角膜白斑 痛苦 攫夺者 渔夫 长嘴硬鳞鱼
国内种类最多 容量最大 国家级海洋渔业生物种质资源库项目启动建设 看点快报
爆发赤潮 海鲜有毒 福建海鲜表示 这锅我不背 腾讯新闻
第二部分渔民和水产养殖者面临的若干问题
钱塘江干流今天开始禁渔 江河湖海禁渔2 0版来袭 知乎
鲑鱼素描矢量鱼图标 孤立的海驼背或粉红鲑鱼或鳟鱼种类 海鲜餐厅标志或徽章 钓鱼俱乐部或渔业市场的隔离符号 库存矢量图 免版税
淡水鱼类单殖吸虫病 指环虫三代虫等 的防治 寄生虫鱼病 西南渔业网 水产养殖专业网站 欢迎光临
欢迎访问 渔业科学进展 网站
7 2漁業種類別縣市別生產量值
6歷年漁業生產量值
渔业 维基百科 自由的百科全书
拿买一条鱼的钱 助力可持续水产品数据库开发 智渔可持续科技发展研究中心
共和国最年轻的三沙市 有没有想来定居的 财路网
File Quantitiy Of Catches By Sector Of Fisheries In Japan Png Wikimedia Commons
捷胜海洋装备股份有限公司
全球渔民捕鱼踪迹覆盖55 的海洋表面 但只为人类提供了1 3 的食物热量 好奇心小数据 商业 好奇心日报
头条 一男子电鱼时 不幸触电身亡 腾讯网
钓鱼和捕鱼的都看不下去了 偷偷电鱼让鱼绝种 还会让电鱼者丧命
海の生物のなるほど 漁業の種類
保护幼鱼标准合理吗 省海洋渔业局公开征询意见 上虞视听网
沪渔18 过洋性拖网船队 Www 2959 Com 上海远洋渔业有限公司
Ppt 水產學 談漁業資源的永續利用powerpoint Presentation Id
漁業署明預告禁捕大白鯊學術研究申請後許可 Undefined Yahoo奇摩行動版
长江下游狼山沙和新开沙水域渔业资源群落结构特征分析
Fishery Decline 1950 1956 Racket Plot Minamata
Fishery Decline 1950 1956 Racket Plot Minamata
基于dea c模型的我国水产品贸易安全评估 杂志论文 河北渔业
柯维纳渔业讲堂 养殖水体各种因素与鱼病的关系 柯维纳生物 微信公众号文章阅读 Wemp
揭秘印尼传统渔民的日常生活 手机网易网
海洋渔业迎寒冬 微商带动 滩涂养殖 三年赚几百万 养殖一点通
揭秘印尼传统渔民的日常生活 网易旅游
经济日报多媒体数字报刊
水产种类价格 水产种类图片 星期三
Fishery Decline 1950 1956 Racket Plot Minamata
未来旅游趋势在哪里 广东华屿告诉你 是休闲渔业 在东方
2
海洋局 其它常見漁業種類
Fao 18年世界渔业和水产养殖状况 看点快报
Fao发布世界渔业报告 过度捕捞有所反弹 动态 浙江省水产流通与加工协会
全球海鲜知多少 美国佛罗里达州
Ppt 以海維生powerpoint Presentation Free Download Id
热带海域选择性虾拖网渔具的研究进展
与发达国家相比 中国渔业捕捞 养殖 保护 处于怎样的水平呢 话语权如何 知乎
第一部分世界渔业和水产养殖回顾
2
Ppt 建议长江休渔十年让渔业资源休养生息powerpoint Presentation Id
东山湾渔业资源承载力评价指标体系构建及评估
年 世界渔业和水产养殖状况 报告发布 中国水产流通与加工协会
6歷年漁業生產量值
舟山市普陀区渔业行业协会 外地行业动态
欧盟 挪威北海渔业捕捞配额即将确定 财经频道 手机搜狐
龙岩人注意了 这种海鲜吃了可能致命 手机网易网
漁業普查家數 Dgbas Tableau Public
Ppt 水產學 談漁業資源的永續利用powerpoint Presentation Id
過度捕撈的影響 我的网站
关于征集黄海渔业资源及栖息环境监测18春季航次搭载需求的通知 天天快报
知识 渔业船舶种类术语 海事局 海员网 专注于海员培训及船员招聘 出国劳务高端就业平台
冻品攻略
6park Com 金枪鱼罐头如何杀死一头海豚
福海县首届农民节渔业农业双丰收 手机网易网
全文 象山港春 夏季仔稚鱼种类组成结构特征 海洋渔业
Fao全体成员国
马格努森 史蒂文斯渔业保护管理法 美国渔业管理的经验教训 完整版文档下载 皮匠网3mbang Com
渔业资源调查方法 智汇三农
周末休闲渔业精品园里赏鱼去 闪电新闻
全球海鲜知多少 美国佛罗里达州
渔业资源丰富 该国海洋水产品产量大 而且出口率非常高 是世界重要的水产品出口国 其中三文鱼出口占到全世界的53 中国95 的进口三文鱼都是来自挪威 唯美空间
水产种类价格 水产种类图片 星期三
苗栗縣專用漁業權 95年起核發各縣市相關資訊 專用漁業權 行政院農委會漁業署
渔船的种类介绍 科普 宁波中帆船务有限公司
Pdf Vertical Distribution Of Main Species Captured By Tuna Longline Fishery In The Southeast Pacific Ocean
罗网之海 围网鲨鱼兼捕的四个问题与探讨
正版世界重要经济海参种类农业林业水产渔业蛇目白尼参水产养殖黑白尼参图纹白尼参营养价值 摘要书评试读 京东图书
渔业的 中国方案 对环境意味着什么 中外对话
年 世界渔业和水产养殖状况 报告发布 中国水产流通与加工协会
华鲮鱼的种类 鱼苗养殖基地 华鲮鱼 眉山市海之缘渔业有限公司
水产种类价格 水产种类图片 星期三
苏州高铁新城增殖放流8000斤鱼苗保护水域生态环境 情调苏州
花大錢救漁業魚源更枯竭 By Taipei Greenpeace Issuu


